自拍视频精品,97国产色,亚洲另类校园春色,亚洲久久天堂,99精品在线免费,久久久久久久久久久免费av,天天做天天躁天天躁
首頁
關于一諾
產品及應用
可持續發展
新聞中心
企業愿景
加入一諾
聯系我們
EN
集團簡介
下屬公司
榮譽資質
發展歷程
公司宣傳片
鑄造
化妝品
新材料
健康醫藥
綠色農藥
香精香料
綠色工廠
獲得的認證
公司新聞
行業新聞
媒體報道
人才理念
校園招聘
社會招聘
成長與發展
銷售網絡
聯系方式
在線留言
關于一諾
集團簡介
下屬公司
榮譽資質
發展歷程
公司宣傳片
產品及應用
鑄造
化妝品
新材料
健康醫藥
綠色農藥
香精香料
可持續發展
綠色工廠
獲得的認證
新聞中心
公司新聞
行業新聞
媒體報道
企業愿景
企業愿景
加入一諾
人才理念
校園招聘
社會招聘
成長與發展
聯系我們
銷售網絡
聯系方式
在線留言
語言版本
EN
新聞中心
News Center
公司新聞
行業新聞
媒體報道
2024-02-16
/2024
預計到2035年我國生物經濟規模可達38~50萬億元
中國生物經濟以生物技術和生物資源為兩大核心視角,涵蓋了農業、食品、制藥、醫療器械、健康服務、資源環保和材料化工等多個領域,預計到2035年中國生物經濟規模可達38萬億~50萬億元。
2025.06.03
《制造業綠色低碳發展行動方案(2025-2027年)》——中國制造業進入“制度設計+技術突破+市場驅動”綠色轉型新階段
《制造業綠色低碳發展行動方案(2025-2027年)》釋放出明確信號,制造業綠色低碳發展是全面貫徹新發展理念的戰略要求,是推動經濟高質量發展的重要抓手和核心動力。這一重要文件的通過,再次將“綠色制造”推向產業變革的浪潮之巔。這場以綠色為底色的新型工業化革命,正在重塑中國經濟的未來。
2025.02.20
高效催化糠醛開環氫解制備1,5戊二醇
糠醛已經實現工業化應用,因此,提升糠醛的利用價值,下游轉化利用十分重要。1,5戊二醇(1,5-PeD)是重要的醫藥中間體,在增塑劑、化妝品和合成香料等多個領域均具有廣闊的應用前景。
2025.02.19
1,2-戊二醇在化妝品中的保濕防腐作用及安全性
1,2-戊二醇,是一種無色透明的液體,常溫下穩定,不易氧化,對眼睛和皮膚刺激性小,具有較低的粘度和良好的水溶性。可通過親水基團捕捉水分子而發揮保濕的作用,同時具有一定的抑制細菌和真菌的能力,可作為許多化妝品原料的溶劑,防腐劑、保濕劑。
2024.12.11
為什么市場傾向于生物基材料?
對可持續系統的更大需求和日益增加的碳足跡敏感性正日益使消費者和制造商從基于化石燃料的成分轉向可持續解決方案。
2024.04.22
2028年四氫呋喃市場規模將達到17.04億元
據統計數據預測,2023年中國四氫呋喃行業市場規模為12.94億元,2028年中國四氫呋喃行業市場規模將達到17.04億元。
2024.02.16
預計到2035年我國生物經濟規模可達38~50萬億元
中國生物經濟以生物技術和生物資源為兩大核心視角,涵蓋了農業、食品、制藥、醫療器械、健康服務、資源環保和材料化工等多個領域,預計到2035年中國生物經濟規模可達38萬億~50萬億元。
2024.01.22
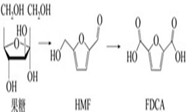
5-羥甲基糠醛HMF路線制備FDCA呋喃二甲酸
5-羥甲基糠醛HMF以果糖為原料的合成路線,最早可追隨到1977 年。5-羥甲基糠醛HMF相較于其他方法的優勢在于,HMF除了被用于生產FDCA呋喃二甲酸,還可與二醇、二胺共聚,進一步制造聚酯、尼龍材料...
2024.01.11
加快建設新型能源體系 推動化石能源與新能源優勢互補
中國加快構建以支撐中國式現代化建設為目標,化石能源與新能源優勢互補、融合發展的安全經濟、綠色低碳、智慧高效、多元協調的新型能源體系。
2024.01.09
生物炭在膠凝材料中的應用
以往的研究表明,生物炭可作為水泥替代品用于生產膠凝材料,以減少資源消耗。生物炭不僅可以促進自由水和結合水的釋放促進水化作用還能作為細骨料,從而提高膠凝材料的綜合性能,擴大其潛在應用領域。
<
1
>
聯系我們
關于一諾
集團簡介
下屬公司
榮譽資質
發展歷程
公司宣傳片
產品及應用
鑄造
化妝品
新材料
健康醫藥
綠色農藥
香精香料
可持續發展
綠色工廠
獲得的認證
新聞中心
公司新聞
行業新聞
媒體報道
企業愿景
企業愿景
加入一諾
人才理念
校園招聘
社會招聘
成長與發展
+86-393-8293966
sales@yinobio.com
COPYRIGHT ? 2024-2025. ALL RIGHTS RESERVED. 山東一諾生物質材料股份有限公司
魯ICP備10028885號-1
魯公網安備 37152202000223號
關注我們
咨詢熱線
0393-8293966